高三化学|专题:攻克💪最后一道选择题‼️

宝藏化学学姐 2025-10-04 02:33:33
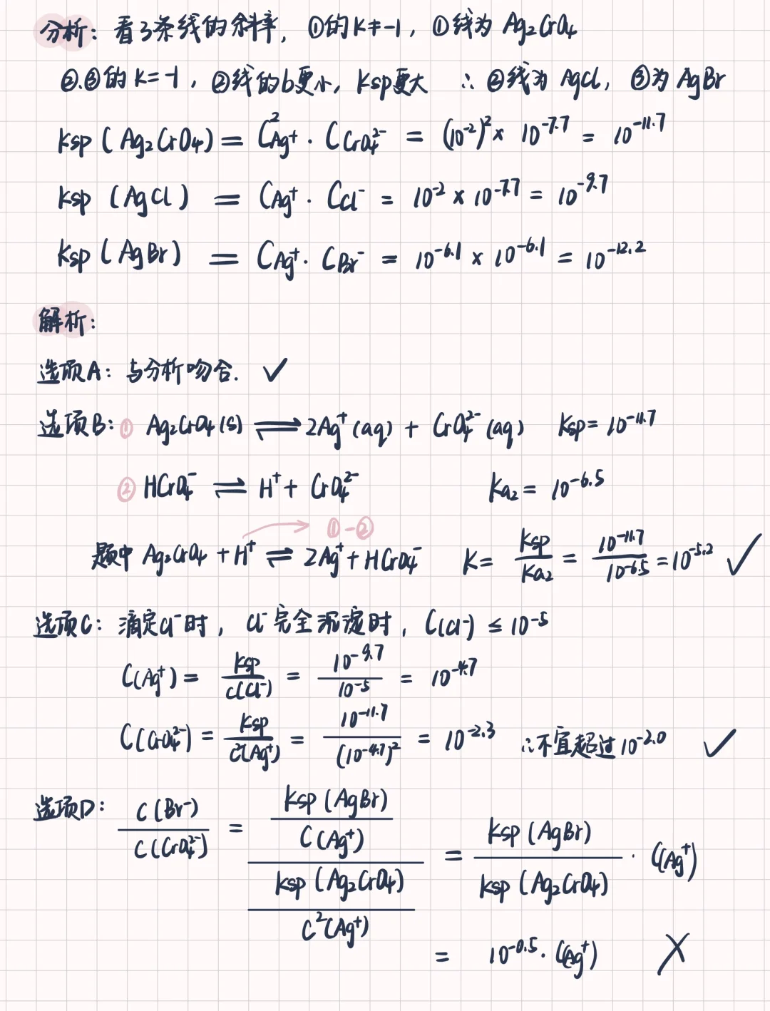
🤩今天更新的是最难的一道选择题之一啦,一般高考都是最后一道选择题,地位比较高,希望看完今天的笔记,能更有思路!! 这道题主要是几个类型:分布系数类、滴定类、沉淀溶解平衡类、对数类,每一个图像都是对应图和例题,帮助理解

0 阅读:0
宝藏化学学姐

宝藏化学学姐

感谢大家的关注